iJOBS Workshop: Primer in Project Management

  • November 14, 2017
iJOBS Blog

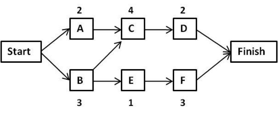
Huri Mücahit and Yaa Haber If you’re looking for a career in which you can plan, organize, and oversee all aspects of a project to reach a specific end goal, then project management is the career for you! In this iJOBS workshop, Kristin Fitzgerald, Director of Global Project and Alliance Management at Merck & Co., covered the day-to-day aspects of project management within a pharmaceutical company, as well as the skills required to succeed. In order to understand project management, it is first necessary to define the term ‘project’. A project is a “temporary endeavor undertaken to create a unique product, service, or result, that has a clearly defined start, finish, dependencies, and scope”. In addition, various factors like time, cost, and the ability to stay within the outlined scope determine success rate. So, as a project manager (PM), what would your role encompass? You would be the person who outlines the tasks and splits them amongst the various teams (which can include IT, marketing, research & development, clinical, legal, regulatory, and medical affairs), sets the objectives required for the project, keeps stakeholders informed on progress made, and assesses and carefully monitors risks of the project. To do so, you would utilize a Project Management Process, an example of which can be seen below: PM1 To aid with this process, there are several tools at your disposal, including Project Charters which are one page documents that clearly summarize the objectives, the people, and the resources for a project; the Work Breakdown Structure document which ensures that you do not succumb to the dreaded “scope creep” and devote resources to unnecessary tasks; and the Critical Path Analysis which determines project duration based on the longest path it takes to complete the project. An example of this analysis can be seen below. PM2 So, what skills are necessary to succeed in this career? A successful PM should be analytical to not only plan to reach closure but to also assess for any risks that might derail the project. They should also have excellent people and communication skills in order to ensure that all of the teams involved have clearly defined tasks and that they are kept informed of the progress. Finally, the most important skill is to be organized, as you must juggle the expectations of leadership and the customers, the constraints of the project, and oversee all of the teams to ensure success. How does one become a PM? For PhD students, the requirements are a little bit easier, in that we already have a four-year degree. In addition, we’ve already completed many hours leading and directing projects in the form of our thesis, which would very well fall under the required 4,500 hours. The only additional requirement is 35 hours of project management education which can be completed through the Project Management Institute. At the end of their program, you can take the Project Management Professional Certification (PMP) exam which is a 200 multiple choice question-based exam which covers the PMBOK (Project Management Body of Knowledge). Once you’ve earned your PMP, you must earn 60 professional development units every three years to maintain it. At the end of the talk, Kristin Fitzgerrald was kind enough to answer several questions, which are listed below:

  1. How common is it to see a PM with a PhD?

It is very common because in order to fulfill the PM role within the pharmaceutical industry, you must have either a PhD or an MD.

  1. What is the path from a PhD to a PM position?

It depends on the project management role but you can apply directly for these positions. However, sometimes, it is more likely that PhDs will make internal lateral movements such as, from the clinical team to project management.

  1. How can a PhD graduate succeed during the job search phase?

You can apply directly to the Merck website. As Merck uses an automatic screening process for resumes, it would be helpful to include buzzwords such as, project management, risks, and critical path. If your resume gets chosen, then this will be followed by a phone interview, then a panel interview with 5-6 PMs, and finally, an interview with a senior leader.

  1. What is the highest level a PM can reach?

At Merck, the vice-president was promoted from a PM role. As you can see, PhD students already have many of the skills required for a career in project management. If you’re interested in learning more about careers such as these, make sure to attend future iJobs workshops and career panels!  

Related News